当前位置:
首页
>
信息公开
>
政府公报
>
2025年
>
第10期(总第118期)
>
市政府部门文件
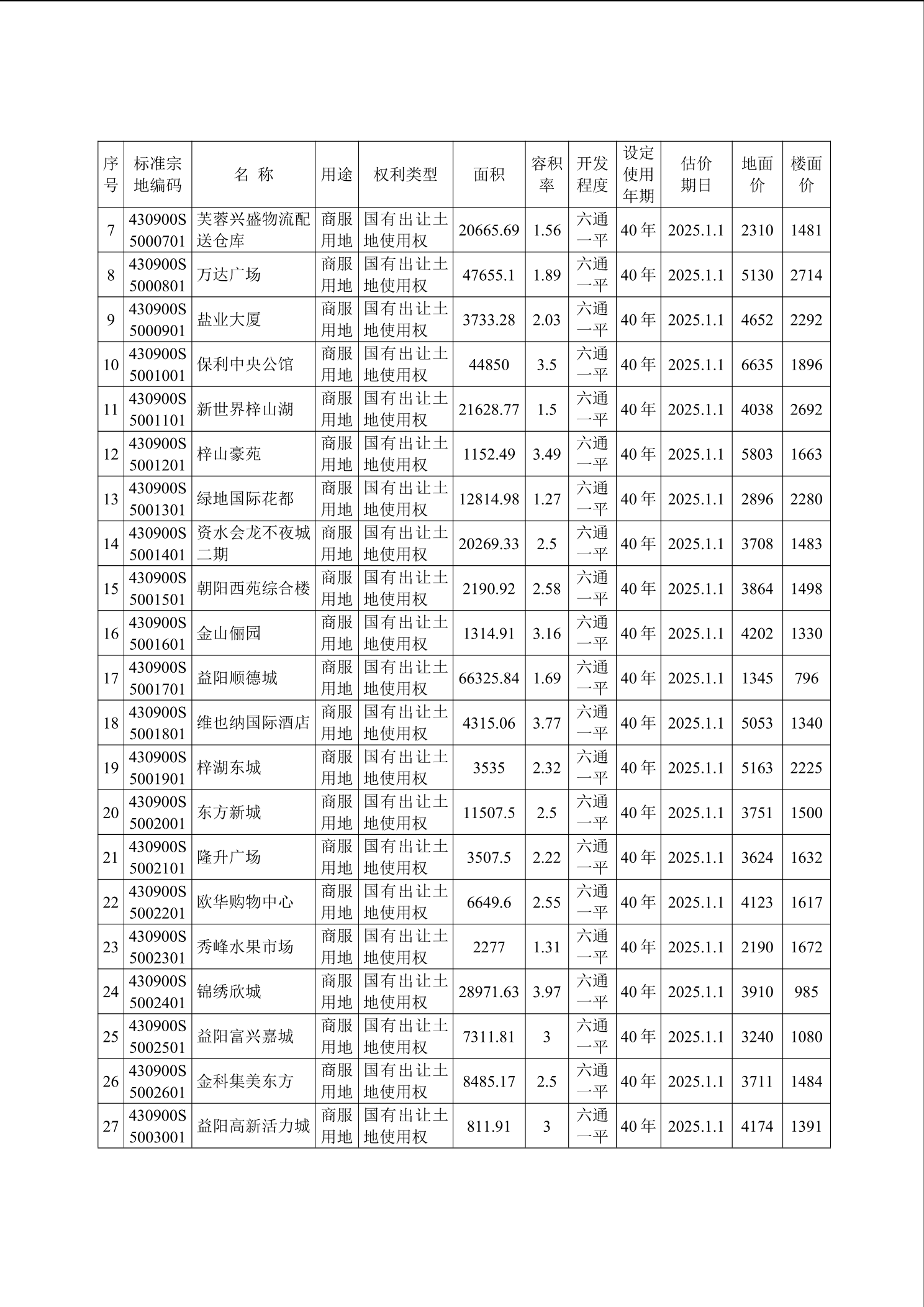
益阳市自然资源和规划局关于公布益阳市城区标定地价更新成果的通知
中国益阳门户网 www.yiyang.gov.cn
发布时间:2025-12-24 16:49
浏览量:
次
字体:
相关附件
益资规发〔2025〕20号 益阳市自然资源和规划局关于公布益阳市城区标定地价更新成果的通知.docx
扫一扫在手机打开当前页
信息来源:市政府办
作者:
责任编辑:市政府办文电科
打印
关闭